您现在的位置:
首页
>
政府信息公开
>
镇、街道、场
>
许市镇
>
重大民生信息
索引号:jsxsz/2025-2334376
发布机构:许市镇
生成日期:2025-12-03 15:26:55
公开日期:2025-12-03
公开方式:政府网站
公开范围:全部公开
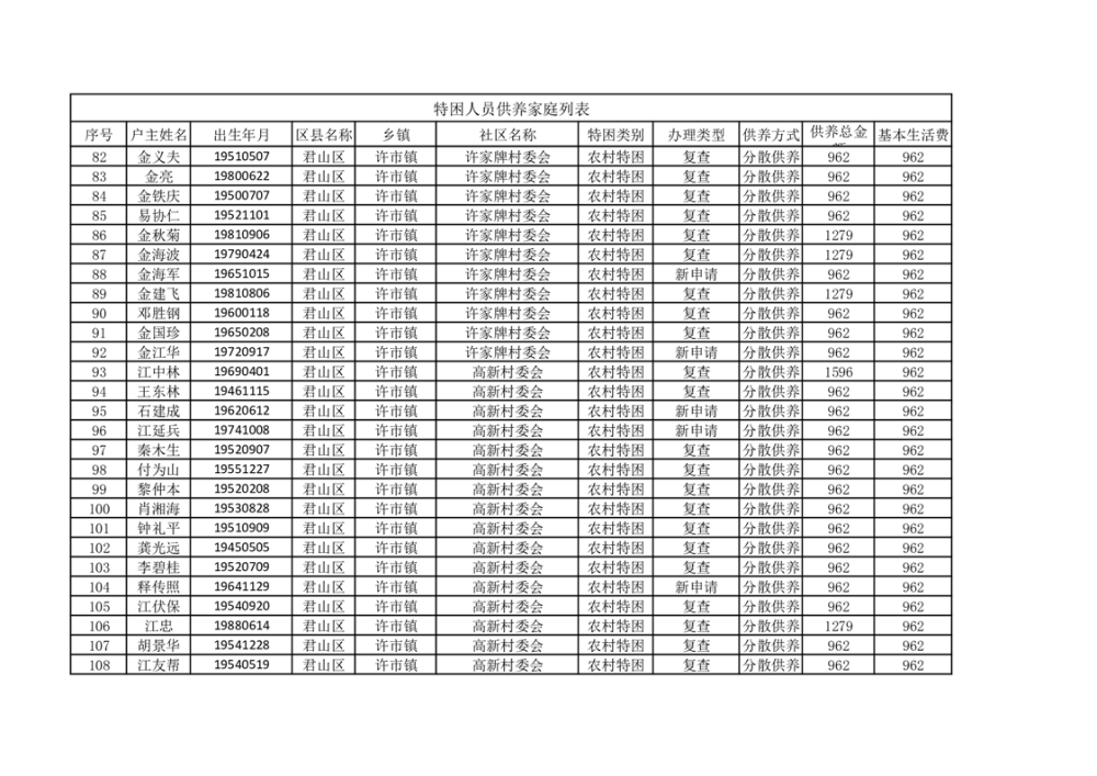
许市镇特困人员家庭供养名单
来源:许市镇
日期: 2025-12-03
浏览量:
1
|
|
|
|